游客:
注册
|
登录
|
会员
|
统计
|
帮助
信天谨游
»
内部记录用
»
早餐计划
» 贫困学生早餐计划-宁利中学和新营盘中学(nada内部认捐)
‹‹ 上一主题
|
下一主题 ››
69
2/7
‹‹
1
2
3
4
5
6
7
››
投票
交易
悬赏
活动
打印
|
推荐
|
订阅
|
收藏
标题: 贫困学生早餐计划-宁利中学和新营盘中学(nada内部认捐)
本主题由 信天谨游 于 2025-10-18 12:34 移动
信天谨游
管理员
UID 5
精华 0
积分 0
帖子 29487
阅读权限 200
注册 2007-4-3
状态 离线
#11
发表于 2010-11-11 15:02
资料
文集
短消息
宁利中学学生吃鸡蛋照片
图片附件
:
nEO_IMG_宁利中学学生吃鸡蛋.jpg
(2010-11-11 15:09, 57.11 K)
图片附件
:
nEO_IMG_宁利中学学生吃鸡蛋2.jpg
(2010-11-11 15:09, 58.29 K)
信天谨游
管理员
UID 5
精华 0
积分 0
帖子 29487
阅读权限 200
注册 2007-4-3
状态 离线
#12
发表于 2010-11-11 15:10
资料
文集
短消息
宁利中学学生吃鸡蛋照片
图片附件
:
nEO_IMG_宁利中学学生吃鸡蛋3.jpg
(2010-11-11 15:10, 56.41 K)
图片附件
:
nEO_IMG_宁利中学学生打鸡蛋.jpg
(2010-11-11 15:10, 50.88 K)
信天谨游
管理员
UID 5
精华 0
积分 0
帖子 29487
阅读权限 200
注册 2007-4-3
状态 离线
#13
发表于 2010-11-11 15:12
资料
文集
短消息
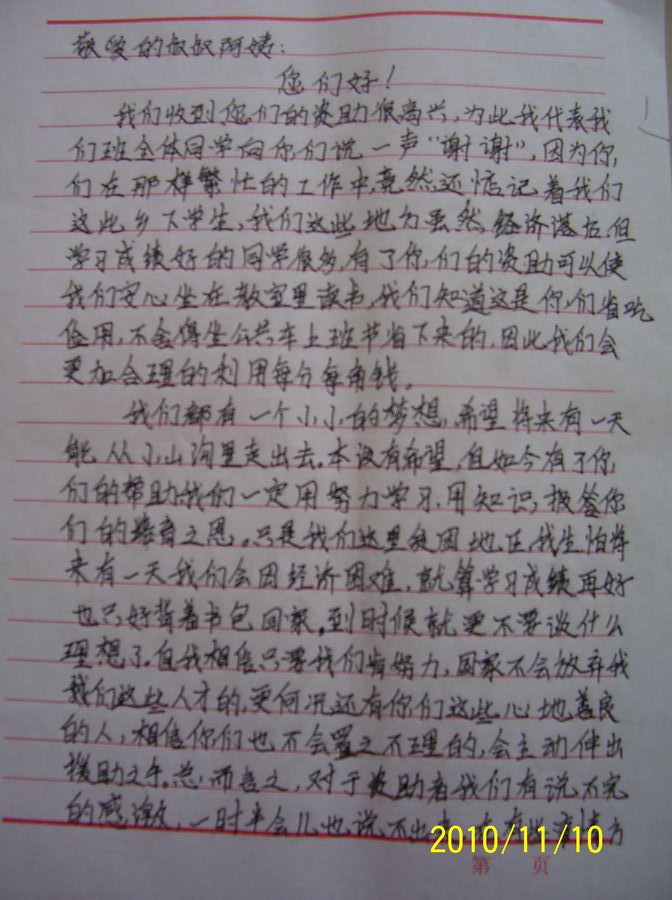
宁利中学学生写来的感谢信
图片附件
:
nEO_IMG_100_7313.jpg
(2010-11-11 15:12, 94.1 K)
图片附件
:
nEO_IMG_100_7314.jpg
(2010-11-11 15:12, 62.2 K)
图片附件
:
nEO_IMG_100_7320.jpg
(2010-11-11 17:05, 67.72 K)
信天谨游
管理员
UID 5
精华 0
积分 0
帖子 29487
阅读权限 200
注册 2007-4-3
状态 离线
#14
发表于 2010-11-15 17:45
资料
文集
短消息
新营盘中学“早餐计划”资助款签收确认单
图片附件
:
001.jpg
(2010-12-1 11:27, 95.73 K)
图片附件
:
002.jpg
(2010-12-1 11:27, 62.23 K)
图片附件
:
003.jpg
(2010-12-1 11:27, 104.97 K)
信天谨游
管理员
UID 5
精华 0
积分 0
帖子 29487
阅读权限 200
注册 2007-4-3
状态 离线
#15
发表于 2010-11-15 17:46
资料
文集
短消息
“早餐计划”资助款签收确认单
图片附件
:
004.jpg
(2010-12-1 11:28, 111.28 K)
图片附件
:
005.jpg
(2010-12-1 11:28, 101.79 K)
图片附件
:
006.jpg
(2010-12-1 11:28, 50.18 K)
信天谨游
管理员
UID 5
精华 0
积分 0
帖子 29487
阅读权限 200
注册 2007-4-3
状态 离线
#16
发表于 2010-11-15 17:47
资料
文集
短消息
新营盘中学
图片附件
:
nEO_IMG_新营盘中学初三年级学生在打鸡蛋.jpg
(2010-11-15 17:47, 70.82 K)
信天谨游
管理员
UID 5
精华 0
积分 0
帖子 29487
阅读权限 200
注册 2007-4-3
状态 离线
#17
发表于 2010-12-14 10:49
资料
文集
短消息
新营盘中学“早餐计划”资助款签收确认单
图片附件
:
nEO_IMG_IMG_0002.jpg
(2010-12-14 10:49, 86.17 K)
图片附件
:
nEO_IMG_IMG_0004.jpg
(2010-12-14 10:49, 88.47 K)
信天谨游
管理员
UID 5
精华 0
积分 0
帖子 29487
阅读权限 200
注册 2007-4-3
状态 离线
#18
发表于 2010-12-14 10:52
资料
文集
短消息
新营盘中学“早餐计划”资助款签收确认单
图片附件
:
nEO_IMG_IMG_0006.jpg
(2010-12-14 10:52, 88.31 K)
图片附件
:
nEO_IMG_IMG_0008.jpg
(2010-12-14 10:52, 85.03 K)
信天谨游
管理员
UID 5
精华 0
积分 0
帖子 29487
阅读权限 200
注册 2007-4-3
状态 离线
#19
发表于 2010-12-14 10:52
资料
文集
短消息
新营盘中学“早餐计划”资助款签收确认单
图片附件
:
nEO_IMG_IMG_0010.jpg
(2010-12-14 10:52, 87.21 K)
图片附件
:
nEO_IMG_IMG_0012.jpg
(2010-12-14 10:52, 80.59 K)
信天谨游
管理员
UID 5
精华 0
积分 0
帖子 29487
阅读权限 200
注册 2007-4-3
状态 离线
#20
发表于 2010-12-20 10:09
资料
文集
短消息
“早餐计划”资助款签收确认单——第二次发款
图片附件
:
nEO_IMG_宁利中学早餐计划1.jpg
(2010-12-20 10:09, 114.27 K)
图片附件
:
nEO_IMG_宁利中学早餐计划2.jpg
(2010-12-20 10:09, 111.37 K)
69
2/7
‹‹
1
2
3
4
5
6
7
››
投票
交易
悬赏
活动
信天谨游
信天谨游助学
> 修建学校
> 一对一资助
> 勘误表
> 山村修路
> 改善学生伙食
> 助学交流
> 待修建学校
> 预算勘误表
> 其它助学活动
> 走访资料
> 助学之友
> 学生园地
> 版务
当前时区 GMT+8, 现在时间是 2025-10-19 12:53
京ICP备07004120号
Powered by
Discuz!
5.0.0
© 2001-2006
Comsenz Inc.
TOP
清除 Cookies
-
联系我们
-
信天谨游
-
Archiver
控制面板首页
编辑个人资料
积分交易
公众用户组
好友列表
基本概况
论坛排行
主题排行
发帖排行
积分排行
在线时间
管理团队